首页
产品
应用
博客
关于我们
首页
产品
应用
博客
关于我们
语言
简体中文
繁體中文
English
以量子之眼,视万物之微
LAM400
轻量/专用 MagLite
专注自然之境,丈量地球磁脉。
动态范围
功耗
灵敏度
带宽
±100uT
< 7W
< 1pT/√Hz
DC-100Hz
获取服务
规格书下载
产品描述
产品特点
产品应用
技术指标
产品组成
测试数据
产品尺寸
相关下载
产品描述
LAM400原⼦磁⼒计是一款基于射频共振原理的地磁原子磁力计,通过测量原子拉莫尔频率响应,实现对地磁场的高灵敏度探测。系统集成激光稳频、原子气室、射频线圈与加热模块,具备高灵敏、低噪声等特点,适用于地磁测量、导航、地质勘探和天气预警等领域。
产品特点
高精度
超低盲区
抗干扰强
无需校准
应用场景
地磁测量与监测
长期监测地球磁场变化,地磁台站部署
地质与矿产勘探
导航与定位系统
空间与航空磁测
防雷预警系统
探测地下金属矿藏、断层与地质结构异常
为高精度惯性导航、姿态参考提供地磁辅助
适用于无人机、卫星平台的地磁测量载荷
监测地磁扰动,支持雷暴活动预测与预警
灵敏度
技术指标
<1pT/√Hz
动态范围
功耗
工作温度
信号输出
线缆长度
供电方式
带宽
1μT至100μT
<5W
-30℃~60℃
串口
1.5m(可定制)
USB转typeC
100Hz
产品组成
传感器探头*1
控制电路*1
供电线缆*1
控制软件
测试数据
图1 灵敏度
图2 动态范围
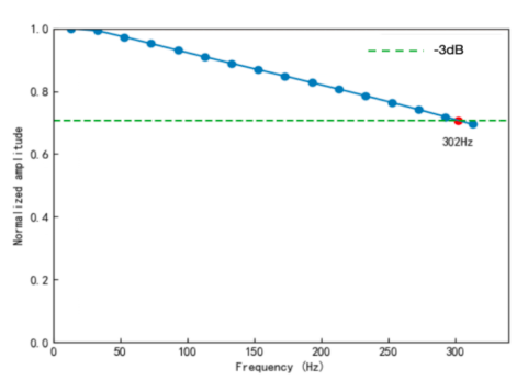
图3 带宽
产品传感器尺寸规格
单位:mm
相关下载
https://cdn.yun.sooce.cn/6/59889/png/1758633581840f26ef914245883c80f181c4aade2ed04.png?version=1758633589
https://cdn.yun.sooce.cn/6/59889/png/1758633581840f26ef914245883c80f181c4aade2ed04.png?version=1758633589
https://cdn.yun.sooce.cn/6/59889/png/1758633581840f26ef914245883c80f181c4aade2ed04.png?version=1758633589
LAM400规格书
LAM400使用说明
LAM400控制软件
获取报价
如对产品有任何疑问或需了解产品更多详情,请联系我们,我们将竭诚为您服务
☏ +86 191 5035 7261
*
您的姓名:
*
机构名称:
*
联系电话:
*
电子邮箱:
*
留言内容:
网站首页
关于量视
产品展示
新闻动态
联系我们